티스토리 뷰
14.1 절에서 얘기했던 simple, simply connected, disconnected 등의 차이를 알아보자.


그림을 보면 쉽게 이해가 될 것이다. simple은 이 도형을 원처럼 만드는 것이 가능하다면 이를 일컫는 말이고, connected는 domain안에 빈 domain이 존재하면 안되는 것이라 생각하면 된다.
이와 관련된 정리는 다음과 같다.

폐곡선에 대한 Line integral을 진행하면 이에 대한 값은 0이라는 것인데, 이에 대한 증명을 하기 전에 Green's Theorem에 대해 알고 있어야 한다. 도움이 되는 다음 블로그를 읽어 보는 것을 추천한다.
https://angeloyeo.github.io/2020/01/18/Green_theorem.html
그린정리 - 공돌이의 수학정리노트 (Angelo's Math Notes)
angeloyeo.github.io
pf)


위의 함수들 폐곡선의 Line integral의 값은 0인데, 이를 통해 폐곡선은 all z에 대해 analytic하므로 analytic function이자 entire function이다.
연습문제를 풀어보자.

Independence of Path

pf)는 간단하다.


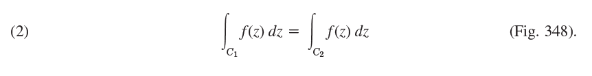
C가 C1, C2*로 쪼개진다고 할 때, 둘의 Line integral합은 0일 것이다. 이때, C2* 시계 반대 방향을 시계 방향으로 바꾸어 하면, 다음 그림 및 식처럼 된다.


Principle of Deformation of Path

14.1의
Existence of Indefinite Integral

pf)


Cauchy's Integral Theorem for Multiply Connected Domains

여기서 위의 폐곡선 합을 나타낸 성질에서도 알 수 있듯이 C2의 방향(C1의 방향)이 반대일 때 Line integral과 C1 Line integral(C2 Line integral) 합이 0이기에 둘의 방향성을 같게 해준 뒤(Fig. 353)의 Line integral의 합은 같다. 여러 개의 내부가 있어, not connected한 경우도 같은 방법으로 진행할 수 있다. 연습 문제에서 자세히 알아보는 걸로 하자.
'Engineering Mathematics' 카테고리의 다른 글
14.4 - Derivatives of Analytic Functions (0) | 2023.12.03 |
---|---|
14.3 -Cauchy's Integral Formula (0) | 2023.12.03 |
14.1 Line Integral in the Complex Plane (0) | 2023.11.24 |
13.7 Logarithm. General Power. Principal Value (0) | 2023.11.23 |
13.6 Trigonometric and Hyperbolic Functions. Euler's Formula (0) | 2023.11.23 |